化工工艺设计常见问题及建议,敢说你都知道?

发布时间:2019-02-16   来源:企事业环保

免费发布环评和验收公示,请上环保之家论坛,咨询热线15356135656

长按识别二维码进入保智

导语

对于化工工艺设计初学者来说,总会遇到一些基本问题,比如说管道设计温度和设计压力如何确定,小七发现一些初学者根据已知的工作温度和工作压力很随意地确定设计温度和设计压力,过小会造成安全隐患,导致事故,过大则会造成材料浪费。下面就针对化工工艺设计过程中的一些常见问题分别阐述。


管道设计压力和设计温度的确定



管道设计压力


管道设计压力是指工作条件下,管系中可能遇到的工作压力和工作温度组合中最苛刻条件下的压力。


1、管道设计压力的确定原则


① 管道设计压力不低于最大工作压力。


② 装有安全泄放装置的管道其设计压力不得低于安全泄放装置的开启压力(或爆破压力)。


③ 所有与设备相连接的管道,其设计压力应不小于所连接设备的设计压力。


④ 输送制冷剂、液化气等沸点低的介质的管道,应按阀关闭或介质不流动时介质可能达到的最大饱和蒸汽压力作为设计压力。


⑤ 离心泵出口管道的设计压力应不小于泵的关闭压力。


⑥ 往复泵出口管道的设计压力应不小于泵出口安全泄放装置的设定压力。


⑦ 压缩机排出管道的设计压力应不小于安全泄放装置的设定压力和压缩机出口至安全泄放装置之间最大流量下的压降之和。


⑧ 装有安全控制装置的真空管道设计压力取最大压差的 1.25 倍或 0.1 MPa 的较小值,并按外压条件进行设计;对于没有安全控制装置的真空管道,设计压力取 0.1 MPa。


下表是国内某大型工程公司管道设计压力规定,供参考学习。


表 1 一般情况下管道设计压力规定



2、管道设计温度


管道设计温度是指工作条件下,在相应设计压力下管道可能达到的材料温度。


工艺专业通常按正常操作温度加上一定裕量为设计温度。


(1)流体正常操作温度≤ 300℃时,裕量不小于 30℃。


(2)流体正常操作温度 >300℃时,裕量不小于15℃。


(3)流体温度低于 0℃时,设计温度等于流体最低温度。


(4)室外管道应按当地冬季绝对最低气温。下表是国内某大型工程公司管道设计温度规定,供参考学习。


表 2 一般情况下管道设计温度规定


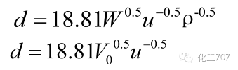
3、管径选择


(1)当按预定介质流速来确定管径时,采用下式初选管径:



式中:d — 管道内径;mm;

   W — 管内介质的质量流量,kg/h;

   V0 — 管内介质的体积流量,m3 /h;

   ρ — 介质在工作条件下的密度,kg/m3

   u — 介质在管内的平均流速,m/s。


(2) 当 按 每 100m计算管长的压降控制值(ΔPf100)来选择管径时,采用下式初定管径:


  


式中:μ—介质的动力粘度;Pa • S;

 ΔPf100 —100m计算管长的压力降控制值,kPa。


4、管道材料选择


管道材料选择要求设计人员必须灵活运用工程学、材料学、腐蚀学等方面的知识定性定量综合判断。管道材料选择通常根据介质的特性(腐蚀性、毒性、燃烧性等)和操作条件(温度、压力等),按照既适用又经济的原则来考虑。常用材料有铸铁(灰铸铁、可锻铸铁、球墨铸铁)、普通碳素钢、优质碳素钢、低合金钢、高合金钢、特种合金钢等。常用金属材料的使用温度见表 3。


表 3 常用金属材料的使用温度



5、管道材料选择的注意事项


(1)铸铁(灰铸铁、可锻铸铁、球墨铸铁)、碳素结构钢不得应用于 GC1 级压力管道。


(2)GC1 级压力管道应使用无缝钢管。


(3)输送有毒、可燃介质的管道优先选用优质碳素钢,即使规范允许使用碳素结构钢也要尽量少用,最好不用。


(4)碳素钢、碳锰钢和锰矾钢最高工作温度不得高于 425℃,否则碳化物有石墨化的可能性。


(5)金属材料应避免材料 - 腐蚀组合环境。


阻火器



阻火器定义


阻火器是一种允许流体通过,又能阻止火焰传播和蔓延的安全防护设备。


阻火器分类


(1)按性能分类,分为阻爆燃型阻火器和阻爆轰型阻火器;


(2)按使用场所分类,分为放空阻火器和管道阻火器;


(3)按结构分类,分为充填型、板型、金属网型、液封型、波纹型等。


阻火器设置


以下管道系统的指定位置应设置管道阻火器:


(1) 输送有可能产生爆燃或者爆轰的混合气体管道;


(2) 输送能自行分解导致爆炸并且引起火焰蔓延的气体管道;


(3) 与明火设备连接的可燃气体减压后的管道(特殊情况可设置水封装置);


(4) 进入火炬头的排放气管道。


阻火器选用


阻火器的选用步骤:


(1)根据使用场所决定采用放空阻火器还是管道阻火器。


(2)根据阻火器设置的位置和潜在点火源的方向,确定采用双向型阻火器还是单向型阻火器。


(3)根据工艺气体或蒸汽的爆炸分级 MESG 值选用阻火器,选用阻火元件的允许间隙应小于工艺气或蒸汽的 MESG 值。


(4)根据阻火器入口处的火焰传播速度确定选用阻爆燃型还是阻爆轰型的阻火器。如果火焰蔓延以亚音速传播,则选用阻爆燃型;如果火焰蔓延以音速或超音速传播,则选择阻爆轰型。


(5)允许压力降的校核。


(6)考虑阻火器设置的位置和相关管道尺寸和布置对阻火器性能的影响。例如:阻爆燃型阻火器至着火源的距离一般不能超过 50 倍管径,否则可能发展为爆轰,阻火器失效。


(7)不推荐 2 个或更多阻火器串联安装。


安全阀



安全阀定义


安全阀是由弹簧作用或由导阀控制的阀门,当入口处静压超过设定压力时,阀瓣上升以泄放被保护系统的超压,当压力降至回座压力时,可自动关闭的安全泄放装置。


安全阀分类


1、按 GB/T 12241《安全阀一般要求》分类


① 直接荷载式


② 带动力辅助装置式


③ 带补充载荷式


④ 先导式


2、按阀片开启高度分类


① 全启式


② 微启式


3、按结构不同分类


① 封闭和不封闭弹簧式


② 带扳手和不带扳手


③ 带散热片和不带散热片


④ 平衡式和非平衡式


4、按平衡内压的方式分类


① 弹簧式


② 杠杆式


③ 先导式


安全泄放装置(安全阀、爆破片装置)设置场所


(1)设计压力小于外部压力源的压力,出口可能被关断或堵塞的设备和管道系统;


(2)出口可能被关断的容积式泵和压缩机的出口管道;


(3)因冷却水或回流中断,或再沸器输入热量过多而引起超压的蒸馏塔顶的气相管道;


(4)因不凝气体积聚产生超压的设备和管道系统;


(5)加热炉出口管道中切断阀或调节阀的上游管道;


(6)因两端切断阀关闭,受环境温度、阳光照射或伴热影响面产生热膨胀或汽化的管道系统;


(7)放热反应可能失控的反应器出口处切断阀上游的管道系统;


(8)凝汽式汽轮机的蒸汽管道出口;


(9)蒸汽发生器等产汽设备的出口管道;


(10)低沸点液体(液化气等)容器的出口管道;


(11)管程可能破裂的热交换器低压侧的出口管道;


(12)减压阀组的低压侧管道;


(13)设计者认为可能产生超压的其他部位。


安全阀型式选择


在选用安全阀时,除确定公称压力、温度-压力、弹簧工作压力等级和公称通径外,其次,还应根据工况介质选择合适的安全阀结构型式以及阀体和主要内件的材质。


安全阀型式选择的基本原则:


① 排放气体或蒸汽时,选用全启式安全阀。


② 排放液体时,选用全启式或微启式安全阀


③ 排放水蒸汽或空气时,可选用带扳手的安全阀。


④ 对于设定压力大于 3.0 MP,温度超过 235℃的气体用安全阀,则应该考虑选用带散热片的安全阀,以防止泄放介质直接冲蚀弹簧。


⑤ 排放介质允许泄漏至大气时,选用开放式阀帽的安全阀,不允许泄漏至大气的,选择封闭式安全阀。


⑥ 排放有剧毒、有强腐蚀性、有极度危险的介质,应选用波纹管安全阀。


⑦ 高背压的场合,选用背压平衡式安全阀或先导式安全阀。


⑧ 在某些重要的场合,有时要安装互为备用的两个安全阀。两个安全阀的进口和出口切断阀宜采用机械联锁装置,以确保在任何时候(包括维修、检修期间)都能满足容器所要求的泄放面积。


安全阀选型计算


安全阀选型计算涉及到三个重要参数:安全阀设定压力、安全泄放量、最小泄放面积,只有这三个参数确定了才能确定安全阀的型号。


5、安全阀设定压力


(1)对于独立压力系统中管道上的安全泄放装置,相关压力的确定应以系统的设计压力为基准,且符合以下规定。


① 当安装一个安全泄放装置时,安全阀的设定压力 ( 或爆破片装置最大标定爆破压力 ) 应不大于系统设计压力,且最大泄放压力应不大于系统设计压力的 10% 和 20 kPa 中的较大者。


② 当安装多个安全泄放装置时,至少有一个安全阀的设定压力 ( 或爆破片装置最大标定爆破压力 )应不大于系统设计压力,其余安全阀设定压力 ( 或爆破片装置最大标定爆破压力 ) 不得超过系统设计压力的 5%,且安全阀最大泄放压力均应不大于系统设计压力的 12% 或 30 kPa 中的较大者。


③ 为防止火灾事故发生而安装的安全泄放装置,且最大泄放压力应不大于系统设计压力的 16%。


(2)对于防止液体管道热膨胀的安全泄放装置,安全阀设定压力 ( 或爆破片装置最大标定爆破压力 )应不大于管道设计压力的 120% 和系统试验压力中的较小值,且最大泄放压力应不超过相应温度下管道压力额定值的 20% 或由压力产生的管道名义应力不超过材料许用应力值的 20%。


6、安全泄放量


安全泄放量应按以下规定确定:


(1)应根据物料平衡和能量平衡,计算各种超压工况的安全泄放量。


(2)若系统的某个部位有几种超压工况,则应分别计算每种超压工况的安全泄放量,并取其中的最大值为该部位的安全泄放量。


(3)安全泄放量的计算应符合 GB/T 20801.6—2006 附录 A 的规定,附录 A 中未规定的其他超压工况的安全泄放量计算,可参照 SY/T 1004:3—2002、SY/T 1004.4—2002 和 HG/T 20570.2—95 的 相 应 规定。

7、最小泄放面积


最小泄放面积应按以下规定确定:


(1)根据安全泄放量、最大泄放压力、泄放流体温度、额定泄放系数以及流体的物理性质,计算最小泄放面积。


(2)安全阀和爆破片装置的最小泄放面积应按GB/T 20801.6—2006 附录 A 的规定计算。


(3)选用的安全泄放装置的实际泄放面积应不小于最小泄放面积。


8、安全阀型号确定


根据最小泄放面积可求出流道直径 do,查表 4,可确定安全阀公称通径 DN,查表 5,可确定安全阀型号。


表 4 安全阀公称通径 DN 与流道直径 do 对应关系表

(单位:mm)



表 5 某阀门厂安全阀型号一览表


更多干货详见企事业环保管家订阅号,长按识别以下二维码关注

不当之处,欢迎回消息告知删稿事宜,本号将尽快处理。谢谢!