企业可以自己编制环保自主验收报告和验收意见,请看内容规定和公示版本

发布时间:2017-10-29   来源:企事业环保

点击题目下方蓝字关注  企事业环保


小提示:欢长按识别以下二维码进入保智收藏了新司法解释等,可以查阅环评分类。

 危废处置去向不好找?超低排放和脱硫废水零排放太贵?VOCs治理咋弄?高浓废水咋处理?环评手续繁琐?请加微信eprens.特别急的,可以直接联系电话18268767761


国务院条例明确了


《国务院关于修改〈建设项目环境保护管理条例〉的决定》(中华人民共和国国务院令第682号,以下简称《条例》)已经2017年6月21日国务院第177次常务会议通过,自2017年10月1日起施行。修改后的《条例》第十七条明确“编制环境影响报告书、环境影响报告表的建设项目竣工后,建设单位应当按照国务院环境保护行政主管部门规定的标准和程序,对配套建设的环境保护设施进行验收,编制验收报告”。


环保部目前最新通知也是的

关于规范建设单位自主开展建设项目竣工环境保护验收的通知(征求意见稿)

 

各省、自治区、直辖市环境保护厅(局),新疆生产建设兵团环境保护局:

  新修改的《建设项目环境保护管理条例》取消了建设项目竣工环境保护验收行政许可,改为建设单位自主验收,进一步强化了建设单位的环境保护三同时主体责任。各级环境保护部门要进一步加强对建设单位的指导和监督检查,确保验收内容不缺项,验收标准不降低,验收结果全公开。为规范建设项目竣工后建设单位自主开展环境保护验收的程序和标准,现就有关事项通知如下:

  一、编制环境影响报告书(表)的建设项目竣工后,建设单位或者其委托的技术机构应当依照国家有关法律法规、建设项目竣工环境保护验收技术规范、建设项目环境影响报告书(表)和审批决定等要求,如实查验、监测、记载建设项目环境保护设施的建设和调试情况,同时还应如实记载其他环境保护对策措施三同时落实情况,编制竣工环境保护验收报告。验收报告编制人员对其编制的验收报告结论终身负责,不得弄虚作假。


下面先贴上验收报告和验收意见内容规定,然后放上已完成并公示的版本。看了规定和公示版本后还不会写的,可以加微信eprens或者打电话18268767761问询。


验收报告主要内容



1 验收项目概况


简述项目名称、性质、建设单位、建设地点、立项过程、环评报告书(表)编制单位与完成时间、环评审批部门、审批时间与文号、开工、竣工、调试时间、申领排污许可证情况、验收工作由来、验收工作的组织与启动时间、验收范围与内容、是否编制了验收监测方案、方案编制时间、现场验收监测时间、验收监测报告形成过程。


2验收依据


2.1建设项目环境保护相关法律、法规、规章和规范;

2.2建设项目竣工环境保护验收技术规范;

2.3建设项目环境影响报告书(表)及审批部门审批决定:

2.4主要污染物总量审批文件;

2.5环境保护部门其他审批文件等。


3工程建设情况


3.1地理位置及平面布置


项目所处地理位置,所在省市、县区,周边易于辨识的交通要道及其他环境情况,重点突出项目所处地理区域内有无环境敏感目标,生产经营场所中心经度与纬度;本项目主要设备、主要声源在厂区内所处的相对位置,附地理位置图和厂区总平面布置图。厂区总平面布置图上要注明厂区周边环境情况、主要污染源位置、废水和雨水排放口位置、厂界周围噪声敏感点与厂界、排放源的相对位置、距离,噪声监测点、无组织监测点位也可在图上标明。


3.2建设内容


简述项目产品、设计能规模、工程组成、建设内容、实际总投资,附环评及批复阶段建设内容与实际建设内容一览表(对于与环评及批复不一致的要备注)。


对于改、扩建项目应简单介绍原有工程及公辅设施情况,以及本项目与原有工程的依托关系等。


3.3主要原辅材料及燃料


列表说明主要原料、辅料、燃料的名称、来源、设计消耗量、调试期间消耗量,给出燃料设计与实际的灰分、硫分、挥发分及热值。


3.4水源及水平衡


简述建设项目生产用水和生活用水来源、用水量、循环水量、废水回用量和排放量,附实际运行的水量平衡图。


3.5生产工艺


简述主要生产工艺原理、流程,并附生产工艺流程与产污排污环节示意图。


3.6项目变动情况


对于项目发生重大变动的或存在变化情况的应简述或列表说明,主要包括环评及批复阶段要求、实际建设情况、变动原因、发生重大变动的有无重新报批环评文件、存在变化情况的有无变动说明。


4环境保护设施


4.1污染物治理/处置设施


4.1.1废水


简述废水类别、来源于何种工序、污染物种类、治理设施、排放去向,并列表说明,主要包括:废水类别、来源、污染物种类、排放规律(连续,间断)、排放量、治理设施、工艺与设计处理能力、设计指标、废水回用量、排放去向(不外排,排至厂内综合污水处理站,直接进入海域、直接进入江、湖、库等水环境,进入城市下水道再入江河、湖、库、沿海海域,进入城市污水处理厂,进入其他单位,进入工业废水集中处理厂,其他(包括回喷、回填、回灌、回等))。附主要废水治理工艺流程图、全厂废水及雨水流向示意图、废水治理设施图片。


4.1.2废气


简述废气来源于何种工序或生产设施、废气名称、污染物种类、排放形式(有组织排放、无组织排放)及治理设施,并列表说明,主要包括:废气名称、来源、污染物种类、排放形式、治理设施、工艺、设计指标、排气筒高度与内径尺寸、排放去向、治理设施监测点设置或开孔情况等,附主要废气治理工艺流程图、废气治理设施图片。


4.1.3噪声


简述主要噪声来源、类别、治理措施,并列表说明,主要包括:噪声源设备名称、源强、台数、位置、运行方式及治理措施(如隔声、消声、减震、设备选型、设置防护距离、平面布置等)。附噪声治理设施图片。


4.1.4固(液)体废物


简述或列表说明固(液)体废物名称、来源、性质、产生量、处理处置量、处理处置方式,一般固体废物暂存与污染防治及合同签订情况,危险废物暂存与污染防治及合同签订、委托单位资质,危废转移联单情况等。


若涉及固(液)体废物贮存场(如灰场、赤泥库等)的,还应简述贮存场地理位置、与厂区的距离、类型(山谷型或平原型)、贮存方式、设计规模与使用年限、输送方式、输送距离、场区集水及排水系统、场区防渗系统、污染物及污染防治设施、场区周边是环境敏感点情况等。


附相关生产设施、环保设施及敏感点图片。


4.2其他环保设施


4.2.1环境风险防范设施


简述危险化学品贮罐区、油罐区、其他装置区围堰尺寸,重点区域防渗工程、地下水监测(控)井设置数量及位置,事故池数量、尺寸、位置,初期雨水收集系统及雨水切换阀位置、切换方式,危险气体报警器数量、安装位置、常设报警限值,事故报警系统,应急处置物资储备等。


4.2.2在线监测装置


简述废水、废气在线监测装置安装位置、数量、型号、监测因子、监测数据联网系统等。


4.2.3其他设施


“以新带老”改造工程、污染物排放口规范化工程、绿化工程、边坡防护工程等其他环境影响评价报告书(表)及审批部门审批决定中要求采取的其他环境保护设施。


4.3环保设施投资及“三同时”落实情况


简述项目实际总投资额、环保投资额及环保投资占总投资额的百分率,列表按废水、废气、噪声、固体废物、绿化、其他等说明各项环保设施实际投资情况。


简述项目环保设施设计单位与施工单位及环保设施“三同时”落实情况,附项目环保设施环评、初步设计、实际建设情况一览表。


5建设项目环评报告书(表)的主要结论与建议及审批部门审批决定


5.1建设项目环评报告书(表)的主要结论与建议


摘录环境影响评价报告书(表)中对废水、废气、固体废物及噪声污染防治设施效果的要求、工程建设对环境的影响及要求、其他在验收中需要考核的内容,有重大变动环评报告的,也要摘录变动环评报告的相关要求。


5.2审批部门审批决定


原文抄录环保部对项目环评报告书(表)的批复意见,有重大变动环评报告批复的,也要抄录变动环评批复的意见。


6验收执行标准


按环境要素分别以表格形式列出验收执行的国家或地方污染物排放标准、环境质量标准的名称、标准号、标准等级和限值,主要污染物总量控制指标与审批部门审批文件名称、文号,以及其他执行标准的标准来源、标准限值等。


7 验收监测内容


7.1环境保护设施调试效果


通过对各类污染物达标排放及各类污染治理设施去除效率的监测,来说明环境保护设施调试效果,具体监测内容如下:


7.1.1废水


列表给出废水类别、监测点位、监测因子、监测频次及监测周期,雨水排口也应设点监测(有水则测),附废水(包括雨水)监测点位布置图。


7.1.2废气


7.1.2.1有组织排放


列表给出废气名称、监测点位、监测因子、监测频次及监测周期,并附废气监测点位布置图,涉及等效排气筒的还应附各排气筒相对位置图。


7.1.2.2无组织排放


列表给出无组织排放源、监测点位、监测因子、监测频次及监测周期,并附无组织排放监测点位布置图。无组织排放监测时,同时测试并记录各监测点位的风向、风速等气象参数。


7.1.3厂界噪声监测


列表给出厂界噪声监测点位名称、监测因子、监测频次及监测周期,附厂界监测点位布置图。


7.1.4固(液)体废物监测


简述固(液)体废物监测点位设置依据,列表说明固(液)体废物名称、采样点位、监测因子、监测频次及监测周期。


7.2环境质量监测


环境影响报告书(表)及其审批部门审批决定中对环境敏感保护目标有要求的要进行环境质量监测,以说明工程建设对环境的影响,主要涉及如环境地表水、地下水和海水、环境空气、声环境、环境土壤质量等的监测。监测内容如下:


简述环境敏感点与本项目的关系,说明环境质量监测点位或监测断面布设及监测因子的选取情况。按环境要素分别列表说明监测点位名称、监测点位经纬度、监测因子、监测频次及监测周期,附监测点位布置图(图中标注噪声敏感点与本项目噪声源及厂界的相对位置与距离,地表水或海水监测断面(点)与废水排放口的相对位置与距离,地下水、土壤与污染源相对位置与距离)。


8质量保证及质量控制


排污单位应建立并实施质量保证与控制措施方案,以自证自行监测数据的质量。


8.1监测分析方法


按环境要素说明各项监测因子监测分析方法名称、方法标准号或方法来源、分析方法的最低检出限。


8.2监测仪器


按照监测因子给出所使用的仪器名称、型号、编号及自校准或检定校准或计量检定情况。


8.3人员资质


简述参加验收监测人员资质或能力情况。


8.4水质监测分析过程中的质量保证和质量控制


水样的采集、运输、保存、实验室分析和数据计算的全过程均按《环境水质监测质量保证手册》(第四版)的要求进行。采样过程中应采集一定比例的平行样;实验室分析过程一般应使用标准物质、采用空白试验、平行样测定、加标回收率测定等,并对质控数据分析,附质控数据分析表。


8.5气体监测分析过程中的质量保证和质量控制


(1)尽量避免被测排放物中共存污染物对分析的交叉干扰。

(2)被测排放物的浓度在仪器量程的有效范围(即30%~70%之间)。

(3)烟尘采样器在进入现场前应对采样器流量计、流速计等进行校核。烟气监测(分析)仪器在测试前按监测因子分别用标准气体和流量计对其进行校核(标定),在测试时应保证其采样流量的准确。附烟气监测校核质控表。


8.6 噪声监测分析过程中的质量保证和质量控制


声级计在测试前后用标准发生源进行校准,测量前后仪器的灵敏度相差不大于0.5dB,若大于0.5dB测试数据无效。附噪声仪器校验表。


8.7 固体废物监测分析过程中的质量保证和质量控制


采样过程中应采集一定比例的平行样;实验室样品分析时应使用标准物质、采用空白试验、平行样测定、加标回收率测定等,并对质控数据分析,附质控数据分析表。


9验收监测结果


9.1生产工况


简述验收监测期间实际运行工况及工况记录方法、各项环保设施运行状况,列表说明能反应设备运行负荷的数据或关键参数。若有燃料,附燃料成分分析表。


9.2环境保设施调试效果


9.2.1污染物达标排放监测结果


9.2.1.1废水


废水监测结果按废水种类分别以监测数据列表表示,根据相关评价标准评价废水达标排放情况,若排放有超标现象应对超标原因进行分析。


9.2.1.2废气


1)有组织排放


有组织排放监测结果按废气类别分别以监测数据列表表示,根据相关评价标准评价废气达标排放情况,若排放有超标现象应对超标原因进行分析。


2)无组织排放


无组织排放监测结果以监测数据列表表示,根据相关评价标准评价无组织排放达标情况,若排放有超标现象应对超标原因进行分析。附无组织排放监测时气象参数记录表。


9.2.1.3厂界噪声


厂界噪声监测结果以监测数据列表表示,根据相关评价标准评价厂界噪声达标排放情况,若排放有超标现象应对超标原因进行分析。


9.2.1.4固(液)体废物


固(液)体废物监测结果以监测数据列表表示,根据相关评价标准评价固(液)体废物达标情况,若排放有超标现象应对超标原因进行分析


9.2.1.5污染物排放总量核算


根据各排污口的流量和监测浓度,计算本工程主要污染物排放总量,评价是否满足审批部门审批的总量控制指标,无总量控制指标的不评价,仅列出环境影响报告书(表)预测值。


对于有“以新带老” 要求的,按环境影响报告书(表)列出“以新带老”前原有工程主要污染物排放量,并根据监测结果计算“以新带老”后主要污染物产生量和排放量,涉及“区域削减”的,给出实际区域平衡替代削减量,并计算出目实施后主要污染物增减量。附主要污染物排放总量核算结果表。


若项目废水接入下游污水处理厂的只核算出接管总量,不计算排入外环境的总量。


9.2.2环保设施去除效率监测结果


9.2.2.1废水治理设施


根据各类废水治理设施进、出口监测结果,计算主要污染物去除效率,评价是否满足环评及审批部门审批决定或设计指标。


9.2.2.2废气治理设施


根据各类废气治理设施进、出口监测结果,计算主要污染物去除效率,评价是否满足环评及审批部门审批决定或设计指标。


9.2.2.3厂界噪声治理设施


    根据监测结果评价噪声治理设施的降噪效果。


9.2.2.4固体废物治理设施


根据监测结果评价固体废物治理设施(如铬渣解毒设施)的处理效果。


9.3工程建设对环境的影响


环境质量监测结果分别以地表水、地下水、环境空气、土壤、海水监测数据及敏感点噪声监测数据列表表示,根据相关环境质量标准或环评及审批部门审批决定,评价达标情况(无执行标准不评价),若排放有超标现象应对超标原因进行分析。


10 验收监测结论


10.1环境保设施调试效果


简述废水、废气(有组织、无组织)、厂界噪声、固(液)体废物监测结果及达标排放情况、主要污染物排放总量达标情况、各项环保设施主要污染物去除效率是否符合环评及审批部门审批决定或设计指标。


10.2工程建设对环境的影响


简述项目周边地表水、地下水、环境空气、土壤及海水的环境质量及敏感点噪声是否达到验收执行标准。


11建设项目环境保护“三同时”竣工验收登记表


验收意见内容

××项目竣工环境保护验收意见



×年×月×日,××单位根据××项目竣工环境保护验收监测报告并对照《建设项目竣工环境保护验收暂行办法》,严格依照国家有关法律法规、建设项目竣工环境保护验收技术规范、本项目环境影响评价报告书(表)和审批部门审批决定等要求对本项目进行验收,提出意见如下: 


一、工程建设基本情况


(一)建设地点、规模、主要建设内容


项目建设地点、性质、产品、规模,工程组成与建设内容,包括厂外配套工程和依托工程等情况,依托工程与本工程的同步性等。


(二)建设过程及环保审批情况


项目环评报告书(表)编制与审批情况、开工与竣工时间、调试运行时间、排污许可证申领情况、项目从立项至调试过程中有无环境投诉、违法或处罚记录等。


(三)投资情况


项目实际总投资与环保投资情况。


(四)验收范围


明确本次验收的范围,不属于本次验收的内容予以说明。


二、工程变动情况


简述工程与环评阶段对比是否有重大变动、是否存在变化情况、有重大变动的是否重新报批环评文件、存在变化情况的是否有变动说明。


三、环境保护设施建设情况


(一)废水


废水种类、主要污染物、治理设施与工艺、设计处理能力与主要污染物去除效率、废水回用情况、废水排放去向等。


(二)废气


有组织排放废气和无组织排放废气种类、主要污染物、污染治理设施与工艺及主要污染物去除效率、废气排放去向等。


(三)噪声


主要噪声源和所采取的降噪措施,项目周边噪声敏感目标情况。


(四)固体废物


固体废物的种类、性质、产生量与处理处置量、处理处置方式、一般固体废物暂存与委托处置情况(合同、最终去向)、危险废物暂存与委托处置情况(转移联单、合同、处置单位资质)等。


固体废物贮存场污染物与治理设施建设情况(若有固体废物贮存场)。


(五)其他环境保护设施


1.环境风险防范设施


简述危险化学品贮罐区、油罐区、其他装置区围堰尺寸,重点区域防渗工程、地下水监测(控)井设置数量及位置,事故池数量、尺寸、位置,初期雨水收集系统及雨水切换阀位置、切换方式,危险气体报警器数量、安装位置、常设报警限值,事故报警系统,应急处置物资储备等。


2.在线监测装置


简述废水、废气在线监测装置安装位置、数量、型号、监测因子、监测数据联网系统等。


3.其他


“以新带老”改造工程、污染物排放口规范化工程、绿化工程、边坡防护工程等其他环境影响评价报告书(表)及审批部门审批决定中要求采取的其他环境保护设施。


四、环境保护设施调试效果


(一)污染物达标排放情况


1.废水


各类废水污染物排放监测结果及达标情况,若有超标现象应对超标原因进行分析。


2.废气


有组织排放:各类废气污染物排放监测结果及达标情况,若有超标现象应对超标原因进行分析。


无组织排放:厂界/车间无组织排放监测结果及达标情况,若有超标现象应对超标原因进行分析。


3.厂界噪声


厂界噪声监测结果及达标情况,若有超标现象应对超标原因进行分析。


4.固体废物


固体废物(如污泥)监测结果及达标情况,若有超标现象应对超标原因进行分析。


5.污染物排放总量


本项目主要污染排放总量核算结果、是否满足审批部门批复的总量控制指标。


(二)环保设施去除效率


1.废水治理设施


根据监测结果计算各类废水治理设施主要污染物去除效率,是否满足环评及审批部门审批决定或设计指标。


2.废气治理设施


根据监测结果计算各类废气治理设施主要污染物去除效率,是否满足环评及审批部门审批决定或设计指标。


3.厂界噪声治理设施


    根据监测结果计算噪声治理设施的降噪效果。


4.固体废物治理设施


根据监测结果计算固体废物治理设施(如铬渣解毒设施)的处理效果。


五、工程建设对环境的影响


按环境要素根据监测结果,简述项目周边地表水、地下水、环境空气、土壤及海水的环境质量及敏感点噪声是否达到验收执行标准。


六、验收结论


按《建设项目竣工环境保护验收暂行办法》中所规定的验收不合格情形对项目逐一对照核查,提出验收是否合格的意见。若不合格,应明确项目存在的主要问题,并针对存在的主要问题,如监测结果存在超标、环境保护设施未按要求完全落实、发生重大变动未履行相关手续、建设过程中造成的重大污染未完全治理、验收监测报告存在重大质量缺陷、各级环境保护部门的整改要求未完全落实等,提出内容具体、要求明确、技术可行、操作性强的后续整改事项。


七、验收人员信息


给出验收人员名单,包括验收负责人和参加验收人员的姓名、单位、电话、身份证号码等信息。



××单位


×年×月×日

 

附录5 “其他需要说明的事项”相关说明


根据《建设项目竣工环境保护验收暂行办法》,“其他需要说明的事项”中应如实记载的内容包括环境保护设施设计、施工和验收过程简况,环境影响报告书(表)及其审批部门审批决定中提出的除环境保护设施外的其他环境保护措施的实施情况以及整改工作情况等,现将建设单位需要说明的具体内容和要求梳理如下:


1环境保护设施设计、施工和验收过程简况


1.1设计简况


需如实说明是否将建设项目的环境保护设施纳入了初步设计,环境保护设施的设计是否符合环境保护设计规范的要求,是否编制了环境保护篇章,是否落实了防止污染和生态破环的措施以及环境保护设施投资概算。


1.2施工简况


需如实说明是否将环境保护设施纳入了施工合同,环境保护设施的建设进度和资金是否得到了保证,项目建设过程中是否组织实施了环境影响报告书(表)及其审批部门审批决定中提出的环境保护对策措施。


1.3验收过程简况


说明建设项目竣工时间,验收工作启动时间,自主验收方式(自有能力或委托其他机构),自有能力进行验收的,需说明自有人员、场所和设备等自行监测能力;委托其他机构的需说明受委托机构的名称、资质和能力,委托合同和责任约定的关键内容。说明验收监测报告完成时间、提出验收意见的方式和时间,验收意见的结论。


2其他环境保护措施的实施情况


环境影响报告书(表)及其审批部门审批决定中提出的除环境保护设施外的其他环境保护措施主要包括制度措施和配套措施等,现将需要说明的措施内容和要求梳理如下:


2.1制度措施落实情况


(1)环保组织机构及规章制度


需如实说明是否建立了环保组织机构,机构人员组成及职责分工;列表描述各项环保规章制度及主要内容,包括环境保护设施调试及日常运行维护制度、环境管理台账记录要求、运行维护费用保障计划等。


(2)环境风险防范措施


需如实说明是否制订了完善的环境风险应急预案、是否进行了备案及收否具有备案文件、预案中是否明确了区域应急联动方案,是否按照预案进行过演练等。


(3)环境监测计划


需如实说明企业是否按照环境影响报告书(表)及其审批部门审批决定要求制定了环境监测计划,是否按计划进行过监测,监测结果如何。


2.2配套措施落实情况


(1)区域削减及淘汰落后产能


涉及到区域内削减污染物总量措施和淘汰落后产能的措施,需如实说明落实情况、责任主体并附相关具有支撑力的证明材料。


(2)防护距离控制及居民搬迁


需如实描述环境影响报告书(表)及其审批部门审批决定中提出的防护距离控制及居民搬迁要求、责任主体,如实说明采取的防护距离控制的具体措施、居民搬迁方案、过程及结果,并附相关具有支撑力的证明材料。


2.3其他措施落实情况


如林地补偿、珍惜动植物保护、区域环境整治、相关外围工程建设情况等,均需如实说明落实情况。


3整改工作情况


整改工作情况需说明项目建设过程中、竣工后、验收监测期间、提出验收意见后等各环节采取的各项整改工作、具体整改内容、整改时间及整改效果等。


已公示版本

晋亿五金销售物流体系建设项目(晋亿物流仓储项目)

自行验收意见

2017818日,晋亿物流有限公司组织召开晋亿五金销售物流体系建设项目(晋亿物流仓储项目)竣工环保设施验收现场检查会。验收小组由属地政府(嘉善经济开发区管委会)、工程建设单位(嘉善荣达建安公司)、环评单位(嘉兴求是环境工程咨询有限公司)、监测单位(嘉兴国文检测有限公司)并特邀3名专家(名单附后)组成。

验收小组现场查阅并核实了本项目建设运营期环保工作落实情况。经认真研究讨论形成检查意见,并提出整改要求,截止109日,已完成全部整改内容,经本公司自查,认为本项目符合环保验收条件,根据《建设项目管理条例》以及企业自行验收相关要求,现将本项目验收意见公示如下:

一、项目基本情况

企业在嘉善经济开发区实施本次项目,审批规模为年仓储、配送五金制品15万吨,本次验收为项目整体验收。

二、验收监测结果

嘉兴国文检测有限公司出具的《晋亿五金销售物流体系建设项目(晋亿物流仓储项目)竣工环境保护验收监测报告》(嘉国文检(2017)验字020号)监测结果表明:

(一)废水

该项目废水入管网口的污染物PH值、化学需氧量、悬浮物和石油类的浓度平均值达到《污水综合排放标准》(GB8978-1996)表4中的三级标准,氨氮、总磷的浓度平均值达到了《工业企业废水氮、磷污染物间接排放限值》(DB33/887-2013)表1中其它企业水污染物间接排放限值,单项次达标率均为100%

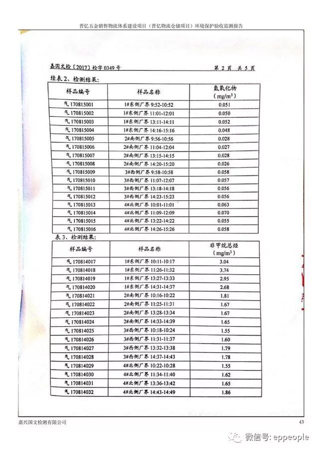
(二)废气

1.有组织废气监测结论

高效油烟净化器出口的排放浓度和速率达到了油烟废气排放执行《饮食业油烟排放标准》(GB18483-2001)中的中型标准排放浓度限值,单项次达标率为100%

2.无组织废气监测结论

厂界4个监控点的氮氧化物和非甲烷总烃排放浓度达到了《大气污染物综合排放标准》(GB16297-1996)表2中的二级标准浓度限值。

(三)噪声

监测结果表明,该项目东、南、西、北厂界昼夜噪声均达到《工业企业厂界环境噪声排放标准》(GB12348-2008)中3类区标准。

(四)固废

该项目产生的固体废物与环评基本相符。生活垃圾委托开发区环卫部门统一清运后,送嘉善县垃圾填埋场作为卫生填埋处理。

(五)总量

该项目化学需氧量年排放总量为1.08吨,氨氮年排放量为0.225吨,总量控制符合环评要求。

三、结论

晋亿物流有限公司在项目实施过程中按照环评及其批复要求落实了相关环保措施,建立了相应的环保管理制度,“三废”排放达到国家相关排放标准,目前,本项目已完成建设项目环境保护设施竣工验收,将正式投入生产。

公示期:2017109-119

举报电话:84184488

公示地点:www.gem-year.com;  经济开发区松海路66号(晋亿物流南大门西侧公示栏)

注:验收监测报告详见公司网站

 

晋亿物流有限公司

2017109

 

晋亿五金销售物流体系建设项目竣工环境保护验收监测报告


请点击此处输入图片描述


请点击此处输入图片描述

请点击此处输入图片描述

请点击此处输入图片描述

请点击此处输入图片描述

请点击此处输入图片描述

请点击此处输入图片描述

请点击此处输入图片描述

请点击此处输入图片描述

请点击此处输入图片描述

请点击此处输入图片描述

请点击此处输入图片描述

请点击此处输入图片描述

请点击此处输入图片描述

请点击此处输入图片描述

请点击此处输入图片描述

请点击此处输入图片描述

请点击此处输入图片描述

请点击此处输入图片描述

请点击此处输入图片描述

请点击此处输入图片描述

请点击此处输入图片描述

请点击此处输入图片描述

请点击此处输入图片描述

请点击此处输入图片描述

请点击此处输入图片描述

请点击此处输入图片描述

请点击此处输入图片描述

请点击此处输入图片描述

请点击此处输入图片描述

请点击此处输入图片描述

请点击此处输入图片描述

请点击此处输入图片描述

请点击此处输入图片描述

请点击此处输入图片描述

请点击此处输入图片描述

请点击此处输入图片描述

请点击此处输入图片描述

请点击此处输入图片描述

请点击此处输入图片描述

请点击此处输入图片描述

请点击此处输入图片描述

请点击此处输入图片描述

请点击此处输入图片描述

请点击此处输入图片描述

请点击此处输入图片描述

请点击此处输入图片描述

请点击此处输入图片描述

请点击此处输入图片描述

请点击此处输入图片描述

请点击此处输入图片描述

请点击此处输入图片描述

请点击此处输入图片描述

请点击此处输入图片描述


声明:   本号对转载、分享、陈述、观点、图频保持中立,目的仅在于传递更多信息,版权归原作者。如不妥,请联系删除。

             长按图片·识别二维码关注》企事业环保