环保局最新公告:有关自主竣工环保验收三文件!附自行验收意见

发布时间:2017-10-21   来源:企事业环保

点击题目下方蓝字关注  企事业环保


小提示:欢长按识别以下二维码进入保智收藏了新司法解释等,可以查阅环评分类。

 

危废处置去向不好找?超低排放和脱硫废水零排放太贵?VOCs治理咋弄?高浓废水咋处理?环评手续繁琐?请加微信eprens

关于建设单位自主开展建设项目竣工环境保护验收的公告

    为贯彻落实《国务院关于修改〈建设项目环境保护管理条例〉的决定》(国务院令第682号,以下简称《条例》),强化建设单位环境保护主体责任,落实建设项目环境保护“三同时”制度,规范建设单位自主开展建设项目竣工环境保护验收,现公告如下:

        一、自2017年10月1日起,建设单位应当按照《条例》要求,自主开展建设项目竣工环境保护验收;环保局依法不再办理建设项目竣工环境保护验收事项。

        二、编制环境影响报告书、环境影响报告表的建设项目竣工后,建设单位应当按照国务院环境保护行政主管部门规定的标准和程序,对配套建设的环境保护设施进行验收,编制验收报告。建设单位在环境保护设施验收过程中,应当如实查验、监测、记载建设项目环境保护设施的建设和调试情况,不得弄虚作假。除按照国家规定需要保密的情形外,建设单位应当依法向社会公开验收报告。

        三、分期建设、分期投入生产或者使用的建设项目,其相应的环境保护设施应当分期验收。

        四、编制环境影响报告书、环境影响报告表的建设项目,其配套建设的环境保护设施经验收合格,方可投入生产或者使用;未经验收或者验收不合格的,不得投入生产或者使用。前款规定的建设项目投入生产或者使用后,应当按照国务院环境保护行政主管部门的规定开展环境影响后评价。

        五、环境保护行政主管部门应当对建设项目环境保护设施设计、施工、验收、投入生产或者使用情况,以及有关环境影响评价文件确定的其他环境保护措施的落实情况,进行监督检查。

       特此公告。


                                                                                                                             易县环境保护局

                                                                                                                              2017年10月9日

 

 

附件下载:

1、关于建设单位自主开展建设项目竣工环境保护验收的公告

    

2、关于规范建设单位自主开展建设项目竣工环境保护验收的通知(征求意见稿)

     

3、建设项目竣工环境保护验收技术指南  污染影响类(征求意见稿)

m=content&c=index&a=show&catid=181&id=9262

1、关于建设单位自主开展建设项目竣工环境保护验收的公告

附件2关于规范建设单位自主开展建设项目竣工环境保护验收的通知(征求意见稿)

关于规范建设单位自主开展建设项目竣工环境保护验收的通知(征求意见稿)

 

各省、自治区、直辖市环境保护厅(局),新疆生产建设兵团环境保护局:

  新修改的《建设项目环境保护管理条例》取消了建设项目竣工环境保护验收行政许可,改为建设单位自主验收,进一步强化了建设单位的环境保护三同时主体责任。各级环境保护部门要进一步加强对建设单位的指导和监督检查,确保验收内容不缺项,验收标准不降低,验收结果全公开。为规范建设项目竣工后建设单位自主开展环境保护验收的程序和标准,现就有关事项通知如下:

  一、编制环境影响报告书(表)的建设项目竣工后,建设单位或者其委托的技术机构应当依照国家有关法律法规、建设项目竣工环境保护验收技术规范、建设项目环境影响报告书(表)和审批决定等要求,如实查验、监测、记载建设项目环境保护设施的建设和调试情况,同时还应如实记载其他环境保护对策措施三同时落实情况,编制竣工环境保护验收报告。验收报告编制人员对其编制的验收报告结论终身负责,不得弄虚作假。

  环境保护设施是指防治环境污染和生态破坏所需的装置、设备、监测手段和工程设施等。

  二、验收报告编制完成后,建设单位应组织成立验收工作组。验收工作组由建设单位、设计单位、施工单位、环境影响报告书(表)编制机构、验收报告编制机构等单位代表和专业技术专家组成。

  验收工作组应当严格依照国家有关法律法规、建设项目竣工环境保护验收技术规范、建设项目环境影响报告书(表)和审批决定等要求对建设项目配套建设的环境保护设施进行验收,形成验收意见。验收意见应当包括工程建设基本情况,工程变更情况,环境保护设施落实情况,环境保护设施调试效果和工程建设对环境的影响,验收存在的主要问题,验收结论和后续要求。验收工作组现场检查可以参照我部《关于印发建设项目竣工环境保护验收现场检查及审查要点的通知》(环办〔2015113号)执行。

  建设单位应当对验收工作组提出的问题进行整改,合格后方可出具验收合格的意见。建设项目配套建设的环境保护设施经验收合格后,其主体工程才可以投入生产或者使用。

  三、存在下列情形之一的建设项目,不得通过竣工环境保护验收:

  (一)未经批准擅自发生重大变动的;

  (二)未按环境影响报告书(表)及审批决定要求建设环境保护设施或者环境保护设施未能与主体工程同时设计、同时施工、同时投产使用的;

  (三)建设单位违反环境保护法律、行政法规受到处罚,被责令改正,尚未改正完成的;

  (四)验收报告不符合建设项目竣工环境保护验收技术规范的;

  (五)存在其他不符合环境保护法律、行政法规等情形的。

  四、建设项目竣工环境保护验收应当在建设项目竣工后6个月内完成。建设项目环境保护设施需要调试的,验收可适当延期,但总期限最长不得超过9个月。

  五、除按照国家规定需要保密的情形外,建设单位应当在出具验收合格的意见后5个工作日内,通过网站或者其他便于公众知悉的方式,依法向社会公开验收报告和验收意见,公开的期限不得少于1个月。公开结束后5个工作日内,建设单位应当登陆全国建设项目竣工环境保护验收信息平台(注:该平台目前正在建设),填报相关信息并对信息的真实性、准确性和完整性负责。

  六、分期建设、分期投入生产或者使用的建设项目,其环境影响报告书(表)应当列明分期的建设内容,明确相应配套的环境保护设施,据此开展分期验收,不得任意拆分项目。

  七、各级环境保护部门应当强化建设项目环境保护事中事后监督管理,建立双随机一公开抽查制度。要充分依托建设项目竣工环境保护验收信息平台,采取随机抽取检查对象和随机选派执法检查人员的方式,同时结合违规项目定点检查,对建设项目环境保护设施三同时落实情况、竣工环境保护验收等情况进行监督性检查,结果向社会公开,将建设项目有关环境违法信息及时记入诚信档案。

  八、需要配套建设的环境保护设施未建成、未经验收或者经验收不合格,建设项目已投入生产或者使用的,在环境保护设施验收中弄虚作假的,或者建设单位未依法向社会公开环境保护设施验收报告的,应依照《建设项目环境保护管理条例》等的规定予以处罚。

  九、相关地方政府或部门承诺负责实施的与项目建设配套的防护距离内居民搬迁、功能置换、区域污染物削减、产能替代等环境保护对策措施,由该地方政府或部门确保其在建设项目建成投产前或者环境影响报告书(表)审批部门规定的时限内完成并承担法律责任。建设项目竣工环境保护验收报告应当如实记载前述环境保护对策措施的实施情况。

  前述环境保护对策措施未实施的,环境保护部门可以采取约谈、区域限批、综合督查等方式督促相关政府或部门抓紧实施。

  十、本通知自2017XX日起实施。《建设项目竣工环境保护验收管理办法》(国家环境保护总局令 第13号)和《关于印发〈环境保护部建设项目三同时监督检查和竣工环保验收管理规程(试行)〉的通知》(环发〔2009150号)同时废止。

 

附件3:建设项目竣工环境保护验收技术指南  污染影响类(征求意见稿)

点击链接:

重磅:环保部发布竣工环保验收技术指南||企业自行验收怎么准备、要哪些步骤、哪些一定要有?

重磅:环保部发布竣工环保验收技术||企业自行验收怎么准备、要哪些步骤、哪些一定要有?


来源:河北省易县县人民政府、易县环保局


晋亿五金销售物流体系建设项目(晋亿物流仓储项目)

自行验收意见

2017818日,晋亿物流有限公司组织召开晋亿五金销售物流体系建设项目(晋亿物流仓储项目)竣工环保设施验收现场检查会。验收小组由属地政府(嘉善经济开发区管委会)、工程建设单位(嘉善荣达建安公司)、环评单位(嘉兴求是环境工程咨询有限公司)、监测单位(嘉兴国文检测有限公司)并特邀3名专家(名单附后)组成。

验收小组现场查阅并核实了本项目建设运营期环保工作落实情况。经认真研究讨论形成检查意见,并提出整改要求,截止109日,已完成全部整改内容,经本公司自查,认为本项目符合环保验收条件,根据《建设项目管理条例》以及企业自行验收相关要求,现将本项目验收意见公示如下:

一、项目基本情况

企业在嘉善经济开发区实施本次项目,审批规模为年仓储、配送五金制品15万吨,本次验收为项目整体验收。

二、验收监测结果

嘉兴国文检测有限公司出具的《晋亿五金销售物流体系建设项目(晋亿物流仓储项目)竣工环境保护验收监测报告》(嘉国文检(2017)验字020号)监测结果表明:

(一)废水

该项目废水入管网口的污染物PH值、化学需氧量、悬浮物和石油类的浓度平均值达到《污水综合排放标准》(GB8978-1996)表4中的三级标准,氨氮、总磷的浓度平均值达到了《工业企业废水氮、磷污染物间接排放限值》(DB33/887-2013)表1中其它企业水污染物间接排放限值,单项次达标率均为100%

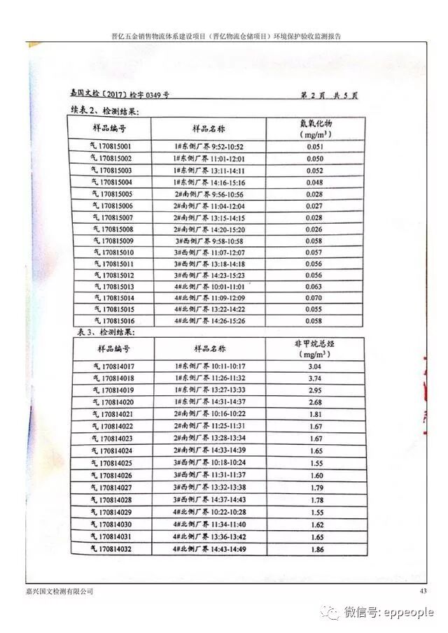
(二)废气

1.有组织废气监测结论

高效油烟净化器出口的排放浓度和速率达到了油烟废气排放执行《饮食业油烟排放标准》(GB18483-2001)中的中型标准排放浓度限值,单项次达标率为100%

2.无组织废气监测结论

厂界4个监控点的氮氧化物和非甲烷总烃排放浓度达到了《大气污染物综合排放标准》(GB16297-1996)表2中的二级标准浓度限值。

(三)噪声

监测结果表明,该项目东、南、西、北厂界昼夜噪声均达到《工业企业厂界环境噪声排放标准》(GB12348-2008)中3类区标准。

(四)固废

该项目产生的固体废物与环评基本相符。生活垃圾委托开发区环卫部门统一清运后,送嘉善县垃圾填埋场作为卫生填埋处理。

(五)总量

该项目化学需氧量年排放总量为1.08吨,氨氮年排放量为0.225吨,总量控制符合环评要求。

三、结论

晋亿物流有限公司在项目实施过程中按照环评及其批复要求落实了相关环保措施,建立了相应的环保管理制度,“三废”排放达到国家相关排放标准,目前,本项目已完成建设项目环境保护设施竣工验收,将正式投入生产。

公示期:2017109-119

举报电话:84184488

公示地点:www.gem-year.com;  经济开发区松海路66号(晋亿物流南大门西侧公示栏)

注:验收监测报告详见公司网站

 

晋亿物流有限公司

2017109

 

晋亿五金销售物流体系建设项目竣工环境保护验收监测报告


请点击此处输入图片描述


请点击此处输入图片描述

请点击此处输入图片描述

请点击此处输入图片描述

请点击此处输入图片描述

请点击此处输入图片描述

请点击此处输入图片描述

请点击此处输入图片描述

请点击此处输入图片描述

请点击此处输入图片描述

请点击此处输入图片描述

请点击此处输入图片描述

请点击此处输入图片描述

请点击此处输入图片描述

请点击此处输入图片描述

请点击此处输入图片描述

请点击此处输入图片描述

请点击此处输入图片描述

请点击此处输入图片描述

请点击此处输入图片描述

请点击此处输入图片描述

请点击此处输入图片描述

请点击此处输入图片描述

请点击此处输入图片描述

请点击此处输入图片描述

请点击此处输入图片描述

请点击此处输入图片描述

请点击此处输入图片描述

请点击此处输入图片描述

请点击此处输入图片描述

请点击此处输入图片描述

请点击此处输入图片描述

请点击此处输入图片描述

请点击此处输入图片描述

请点击此处输入图片描述

请点击此处输入图片描述

请点击此处输入图片描述

请点击此处输入图片描述

请点击此处输入图片描述

请点击此处输入图片描述

请点击此处输入图片描述

请点击此处输入图片描述

请点击此处输入图片描述

请点击此处输入图片描述

请点击此处输入图片描述

请点击此处输入图片描述

请点击此处输入图片描述

请点击此处输入图片描述

请点击此处输入图片描述

请点击此处输入图片描述

请点击此处输入图片描述

请点击此处输入图片描述

请点击此处输入图片描述

请点击此处输入图片描述


声明:   本号对转载、分享、陈述、观点、图频保持中立,目的仅在于传递更多信息,版权归原作者。如不妥,请联系删除。

             长按图片·识别二维码关注》企事业环保